
































ADDING NEGATIVE AND POSITIVE FRACTIONS
Today in class we discussed about adding negative and fractions, with like denominators, unlike denominators, and mixed numbers.
Mr. B asked us to give examples for each of the following, for him to make sure if we understood his discussions with us.
Example:
LIKE DENOMINATORS
3/5 + 6/5 = 9/5 = 1 4/5(SIMPLIFIED VERSION)
4/6 + 10/6 =14/6 =2 1/3 (SIMPLIFIED VERSION)
UNLIKE DENOMINATORS
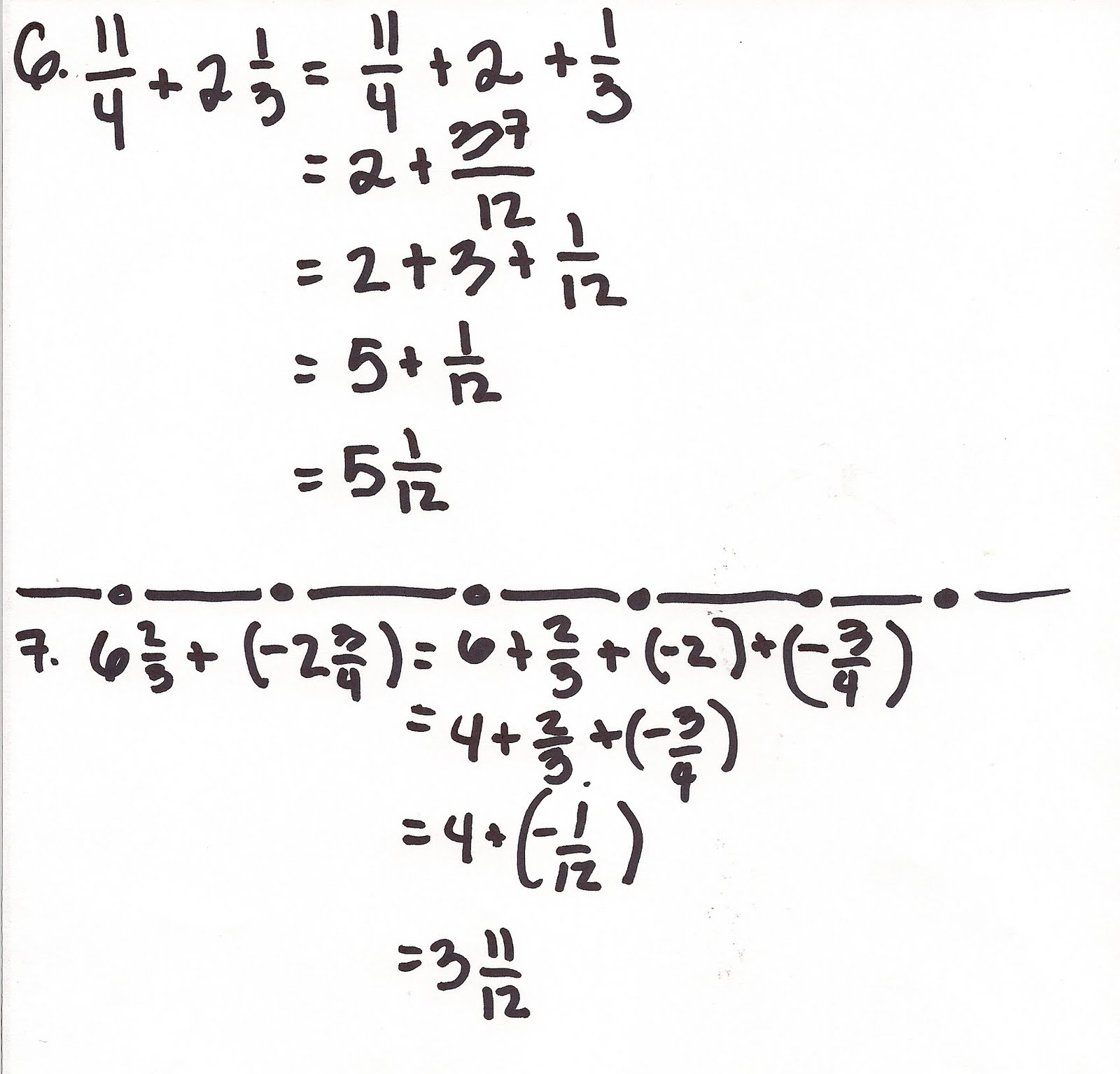
3/4+ 2/3 = 17/12= 1 5/12(SIMPLIFIED VERSION)
3/6 + 3/3 = 1 3/6
MIXED FRACTION
3 5/6 + 2 3/6= 6 1/3
4 1/3 + 1 1/2= 5 5/6
Today in class we discussed about adding negative and fractions, with like denominators, unlike denominators, and mixed numbers.
Mr. B asked us to give examples for each of the following, for him to make sure if we understood his discussions with us.
Example:
LIKE DENOMINATORS
3/5 + 6/5 = 9/5 = 1 4/5(SIMPLIFIED VERSION)
4/6 + 10/6 =14/6 =2 1/3 (SIMPLIFIED VERSION)
UNLIKE DENOMINATORS
3/4+ 2/3 = 17/12= 1 5/12(SIMPLIFIED VERSION)
3/6 + 3/3 = 1 3/6
MIXED FRACTION
3 5/6 + 2 3/6= 6 1/3
4 1/3 + 1 1/2= 5 5/6
Today in math we also have some homework to do.....
Question 2
QUESTION
Well I'm done my scribe hope You understand my scribe, and if i did something wrong please tell me......For the next scribe I choose..... Alyanna.
LCD Text Generator at TextSpace.net







5 comments:
Hey Christian! Great job! Good use of pictures! It really helped me! One suggestion, you should add some colour! Anyways, keep up the good work! :)
Check your math for number 9. You fail to show all steps in many of your questions. See if you can fix these.
okie
Great job Christian! I'm so sorry for the extremley late comment. I haven't been on for a while. Anyways, I like your pictures, but you bearly used any colour. You should have used different colours in the pictures so it's more eye catching. Great job again!
Hey Christian! Good job! I agree with Tracey and Zerlina, you should add some more colours. (;
Post a Comment
Note: Only a member of this blog may post a comment.